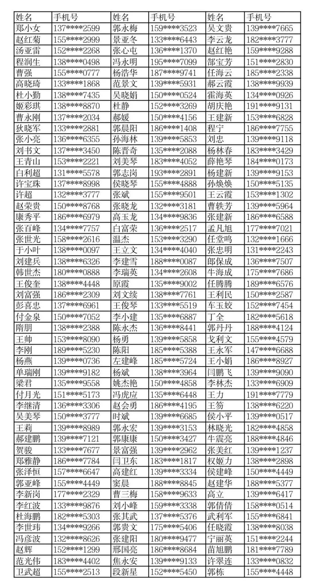
按照山西省商务厅关于调整2025年山西省汽车报废更新补贴活动规则的通告,山西省商务厅于2025年12月16日进行第三轮公证摇号,第三轮摇号共报名13908人,其中申请新能源车补贴人数7175人,申请燃油乘用车补贴人数6733人,本轮摇号名额递增第二轮摇号不符合条件名额32个,其中新能源车名额18个,燃油车名额14个,现将中签消费者名单公示如下。
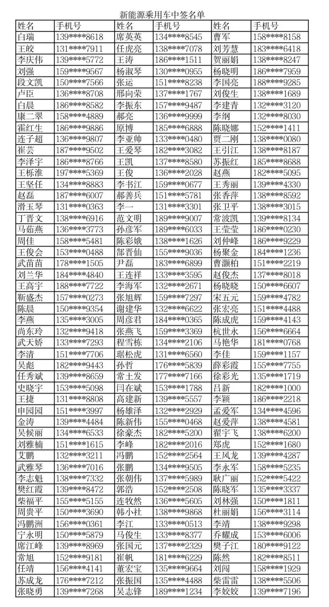
新能源乘用车中签名单
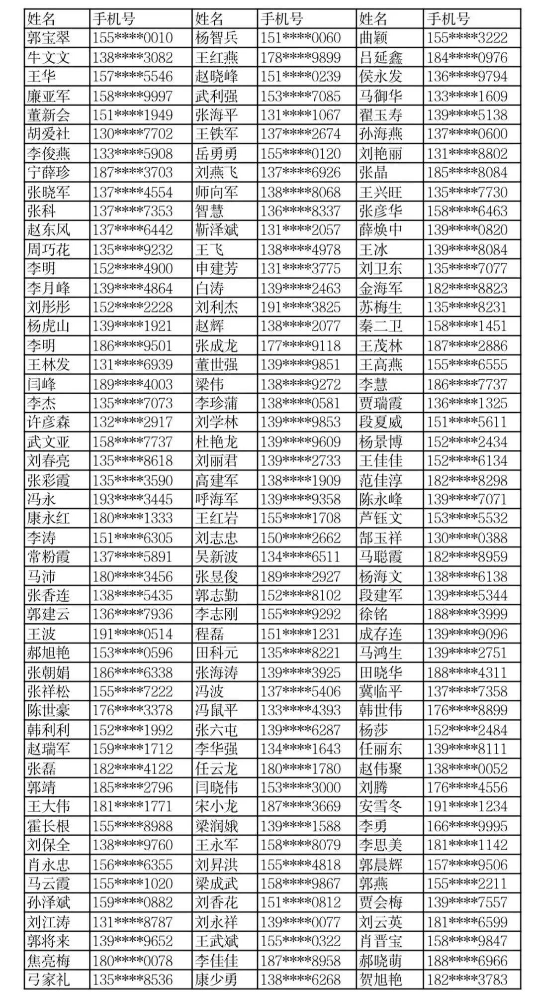
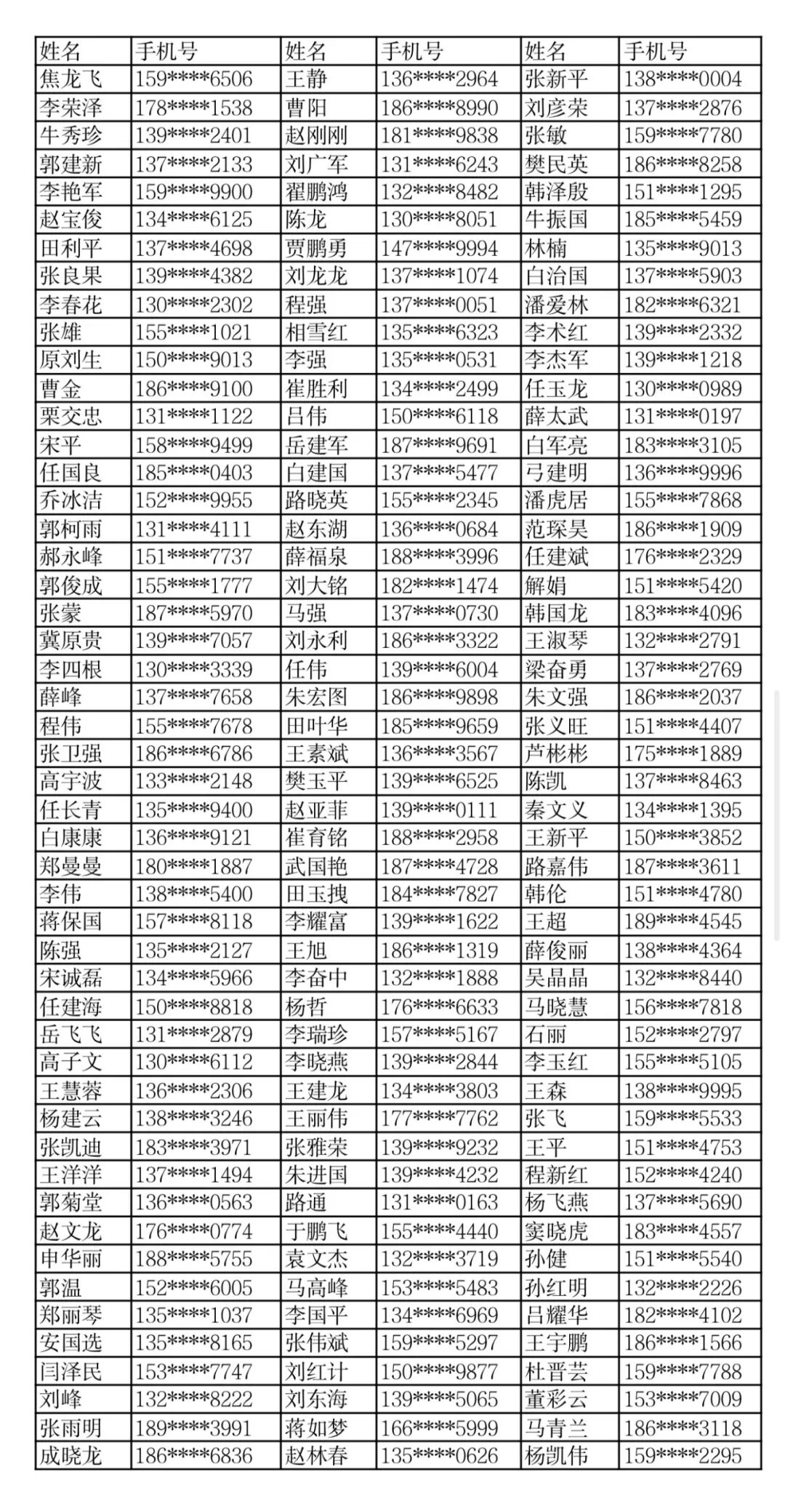
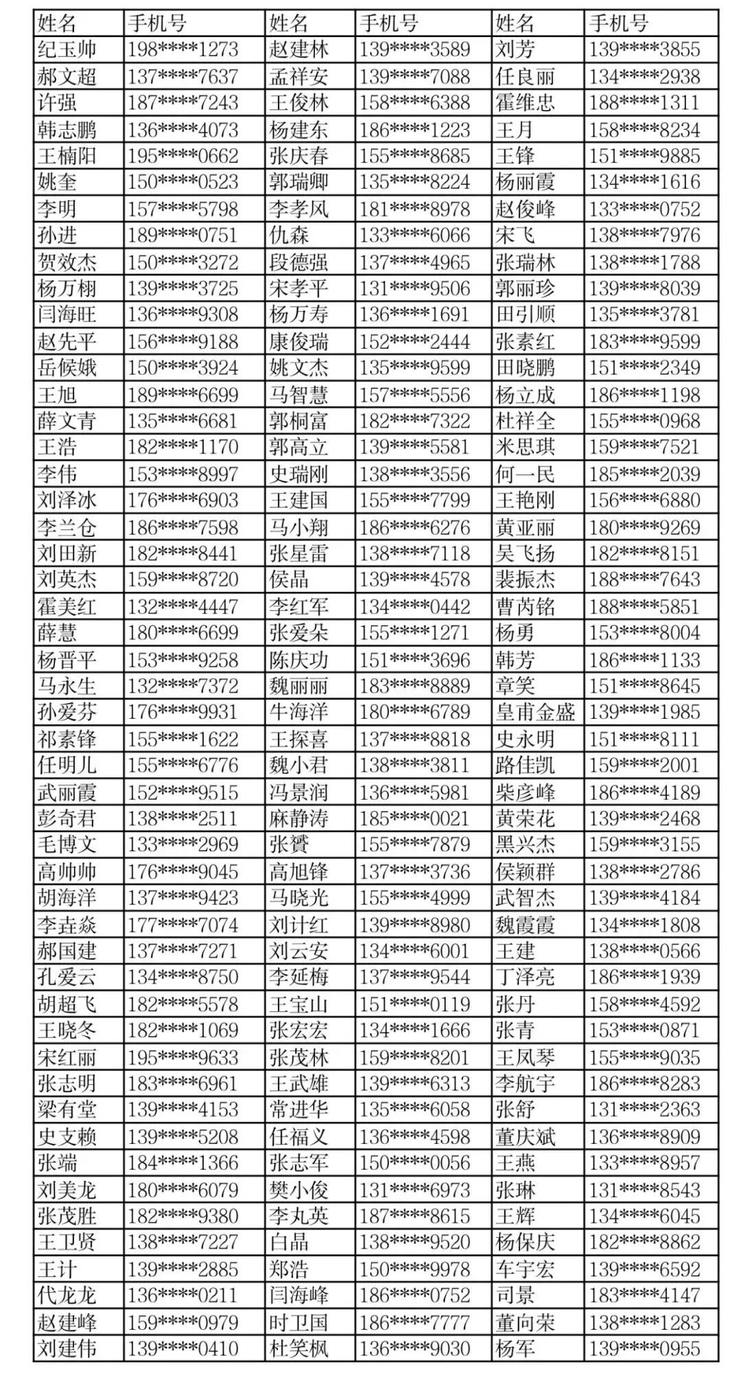
燃油乘用车中签名单
来源:山西省商务厅
编校:崔玲玲
责编:张 琦
审核:杨继红
【未经授权,严禁转载!联系电话028-86968276】
