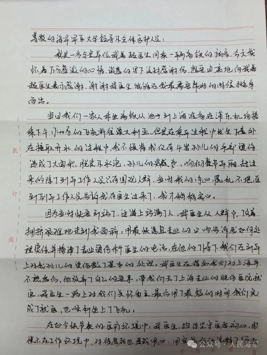
“7号车厢有儿童被开水烫伤,
哪位旅客是医务工作者,
急需要您帮助!”
4月10日上午
开往上海的G7205次列车上
响起寻医广播
听到高铁求医广播后
海军军医大学药学系
教授武善超立即赶到现场
表明身份后
武善超立即对伤情
进行初步评估
并展开紧急处置
为争取最佳治疗效果
他当即拨通了
海军军医大学
第一附属医院(上海长海医院)
烧伤科副教授郑勇军的电话
在郑勇军的专业指导下
他用列车上的冰袋隔着纱布
为创面持续冷敷
有效缓解了疼痛
并最大程度保护了创面清洁
对患儿烫伤红肿部位皮肤进行处置
高铁到站后
武善超教授还全程护送
被烫儿童一家
到第一附属医院(上海长海医院)
进一步处理伤情
并帮助垫付医疗费用
武善超、郑勇军协助就诊
经检查
得益于前期及时、规范的冷疗
被烫儿童的热损伤未进一步加深
随后,郑勇军副教授为其
进行了专业的清创、换药和包扎
并评估创面预计两周内即可愈合
且留疤可能性较小
郑勇军指导清创
考虑到后续换药不便的难题
郑勇军细心地将所需的
全部药膏、无菌纱布和换药包配齐
交到家长手中
放慢动作详细演示换药步骤
耐心指导家长掌握操作要领
临行前,被烫儿童家属
紧紧握住两位军医的手
激动地说:“你们的热心相助与精湛医术,
让我们真切体会到了‘人民军医为人民’!”
4月15日
被烫儿童的家属
将一封手写的感谢信
邮寄到海军军医大学
第一附属医院
两位军医表示:
无论何时何地,只要群众有需要
他们定会第一时间挺身而出
为人民军医点赞
来源:人民海军
编辑:王曼茜
审核:张爽
【未经授权,严禁转载!联系电话028-86968276】
