近日,军队人才网发布公告,中央军委后勤保障部公开招考专业技能岗位文职人员,报名时间为2月20日8:00至2月25日18:00。一起来看公告全文——

中央军委后勤保障部2024年公开招考专业技能岗位文职人员公告
为延揽社会优秀人才为军队建设服务,根据《中国人民解放军文职人员条例》及有关政策规定,中央军委后勤保障部将组织实施2024年面向社会公开招考专业技能岗位文职人员。现就有关事项公告如下:
一、招考岗位
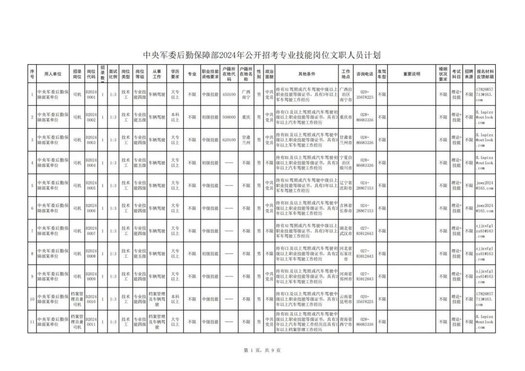
涉及司机、食堂管理员、炊事员、出纳、仓库保管员、营房维修班班长、木工、设施设备维护员、消防员、锅炉工、水暖工、汽车修理技师、调度员、网络管理员、音像技师、理发员等17个专业、281个岗位,均为专业技能三级到专业技能五级技术工岗位。
二、招考对象
招考对象为符合规定报考条件的社会人员,并具备招考岗位计划明确的户籍、学历、职业资格、工作经历等条件。
下列人员不得报考:
(1)因犯罪受过刑事处罚的。
(2)被开除中国共产党党籍的。
(3)被开除公职的。
(4)被依法列为失信联合惩戒对象的。
(5)在公务员、事业单位工作人员和军队文职人员招考中被认定有舞弊等严重违反录用纪律行为的。
(6)近3年作为军队文职人员拟录用对象公示后,本人自愿放弃录用资格的。
(7)被军队用人单位或者机关事业单位辞退(单方面解除聘用合同)未满5年的。
(8)现役军人、在职军队文职人员(公告发布之日)。
(9)法律、法规规定不得招录聘用为文职人员的。
此外,报考人员不得报考与本人有夫妻关系、直系血亲关系、三代以内旁系血亲关系以及近姻亲关系的军队人员担任领导成员的用人单位的岗位,也不得报考与军队人员有夫妻关系、直系血亲关系、三代以内旁系血亲关系,在同一用人单位双方直接隶属于同一领导人员的岗位或者有直接上下级领导关系的岗位,以及军队人员担任领导职务的人力资源、纪检监察、审计、财务、军事设施等敏感岗位。
三、报考条件
(一)政治条件。应当符合军队招录聘用文职人员政治考核的标准条件。
(二)学历条件。应当具有大学专科以上学历。
(三)资格条件。应当分别取得相应专业(工种)、相应等级的职业资格;招考岗位属于军队特有职业技能鉴定工种的,在符合其他条件的基础上可先行报名,招考过程中一并组织职业技能等级考核鉴定。
(四)身体条件。应当符合军队招录聘用文职人员体格检查的标准条件。
(五)年龄条件。报考专业技能三级、四级岗位的,年龄为18周岁以上、35周岁以下(1988年2月至2006年2月期间出生);报考专业技能五级岗位的,年龄为18周岁以上、30周岁以下(1993年2月至2006年2月期间出生)。
(六)其他条件。除上述条件外,其他报考条件由用人单位根据岗位需要确定,具体见招考岗位计划。
报考人员取得学历和职业资格截止时间为2024年2月29日。
四、招考程序
(一)公布招考信息。中央军委后勤保障部通过军队人才网(网址:http://www.81rc.mil.cn或者http://81rc.81.cn)发布招考公告,并公示招考岗位计划。
(二)网上报名。报名时间为2月20日8:00至2月25日18:00。报考人员登录军队人才网“2024年军队面向社会公开招考专业技能岗位文职人员报名系统”,按照报名流程及要求,如实填报个人信息,选择用人单位和招考岗位,符合优待加分条件的选择相应加分理由。选择岗位时,需逐项确认本人是否符合相应条件,因个人原因填错信息、误报岗位的,责任由本人承担。
(三)资格审核。报考人员报名后,应根据报考岗位要求的标准条件,提供相关证明材料扫描件至指定电子邮箱(附后)。报考人员确认报名信息并提交相关证明材料后,不可更改,无需缴费,直接进入资格审核环节。用人单位对考生提供的证明材料进行初审,并采取电话、短信、电子邮件等方式通知通过报考条件初审的考生参加理论考试,考生应保持通信畅通。对通过报名资格条件初审人数2人以下的招考岗位,取消招考岗位计划;对招考岗位计划数量与通过报考资格条件初审人数比例未达到1:3的,等比例缩减招考岗位计划数量,具体岗位适时由用人单位通知考生。
对通过报名资格审核且取得理论考试有效成绩的下列人员,理论考试成绩享受加分优待:
①军队烈士的配偶子女、因公牺牲军队人员的配偶子女、未婚军队烈士的兄弟姐妹,加10分。
②现役军人、2024年退役军人(退役命令时间为2024年1月1日以后)、在职病故军人和现役干部转改文职人员的配偶子女,在军队工作年限满5年的社会用工(截至2024年2月),以及服役年限满5年的退役军人,加5分。
③参加由中央军委或者中央军委机关部门批准的作战、有作战背景的军事行动、非战争军事行动的社会用工和退役军人,经派出用人单位鉴定表现突出的,加5分。其中,属于军队烈士和因公牺牲军队人员的配偶子女、未婚军队烈士的兄弟姐妹的,加15分;属于现役军人、2024年退役军人、在职病故军人和现役干部转改文职人员的配偶子女的,加10分。
报考人员同时符合上述各项规定加分情形的,理论考试成绩加分分数不累计,按照最高情形确定。用人单位将通过在线审核或现场核实的方式确认加分资格,具体时间以用人单位通知为准。
(四)理论考试。3月4日9:00至3月5日18:00,通过报考资格审核的考生,登录指定网站打印准考证,凭准考证、身份证参加中央军委后勤保障部统一组织的理论考试(政治理论20分、专业知识80分)。用人单位同步组织对考生的报考资格和加分材料进行复审,不符合条件的取消报考资格或者加分优待。
(五)确定入围人员。理论考试结束后,用人单位将按照理论成绩(含政策加分)由高到低,根据招考岗位入围比例确定入围人员,并在军队人才网公布。
(六)综合考核。3月中旬,用人单位对入围人员进行综合考核。综合考核满分100分,其中技能实操考核占60%,综合素质面试占40%。具体时间安排和形式方法用人单位将适时通知入围人员,请保持相关联络方式畅通,因考生本人原因48小时内未取得联系的,取消报考资格。
(七)体格检查。用人单位统一组织预选对象进行体检,体检在规定的医疗机构进行。报考人员对体检结果有疑问的,可以在接到体检结果3日内,向用人单位申请一次复检。符合规定参加复检的,体检结果以复检结论为准。其中,对可通过服用药物或者其他治疗手段影响检查结果的项目,体检医疗机 构不予复检,体检结论以初检结论为准。
(八)确定预选对象。3月20日前,对体检合格的报考人员,用人单位按照理论考试(含政策加分)占40%,综合考核占60%的比例计算总成绩,根据总成绩由高到低确定预选对象,其数量按照招考岗位计划人数120%的比例确定。其中,综合考核低于60分或者体检不合格的,不得作为预选对象;考试考核总成绩相同的,依次按照综合考核成绩、技能实操考核确定排名顺序。用人单位将及时把报考人员是否被确定为预选对象告知本人。
(九)政治考核。预选对象的政治考核,按照军队征集和招录人员政治考核有关规定组织实施。政治考核以考核本人政治思想表现为主,重点考核拥护执行党的理论和路线、方针、政策,遵守国家法律法规,重大原则问题、重大政治斗争中的政治立场、政治态度和现实表现,遵守政治纪律和政治规矩,道德品质、宗教信仰、社会交往、诚实守信和出国(境)等情况,以及家庭成员、配偶的父母、未共同生活的兄弟姐妹的政治背景和违法犯罪等情况。
(十)确定拟录用对象。对政治考核结论为通过的预选对象,用人单位根据总成绩排名,按照招考岗位计划人数确定拟录用对象。拟录用对象由中央军委后勤保障部政治工作部门统一审核后在军队人才网对外公示,同时公布监督受理电话和电子邮箱,接受社会监督,公示时间为5个工作日。
报考人员被确定为拟录用对象后,本人自愿放弃录用资格或者经核查不符合录用条件的,用人单位应当按照总成绩由高到低,从政治考核结论为通过的其他预选对象中确定拟录用对象,并按照规定进行公示。
(十一)审批录用。用人单位按照规定权限审批录用对象,首次聘用合同期限2年。新录用人员实行试用期,时间2个月。试用期考核不合格的新录用人员,取消录用资格。
资格条件审查贯穿招考工作全过程。在招考各环节发现报考人员不符合报考资格条件的,用人单位均可以取消其报考资格或者录用资格。
五、特别提示
根据有关政策法规,专业技能岗位文职人员的聘用管理和福利待遇有别于管理岗位和专业技术岗位文职人员,均实行聘用制、签订聘用合同。本次公开招考专业技能岗位文职人员理论考试和综合考核不指定辅导用书,不举办也不委托任何机构举办辅导培训班,敬请广大报考人员提高警惕,切勿上当受骗。各用人单位设立招考咨询电话,可从岗位计划中查看。
2024年中央军委后勤保障部面向社会公开招考专业技能岗位文职人员工作最终解释权归中央军委后勤保障部政治工作部门。
附件:中央军委后勤保障部2024年公开招考专业技能岗位文职人员计划









【未经授权,严禁转载!联系电话028-86968276】

择优录用
面向社会公开招考!👍👍
分享一下呗
为部队服好务。
个人所需报名
延揽优秀人才