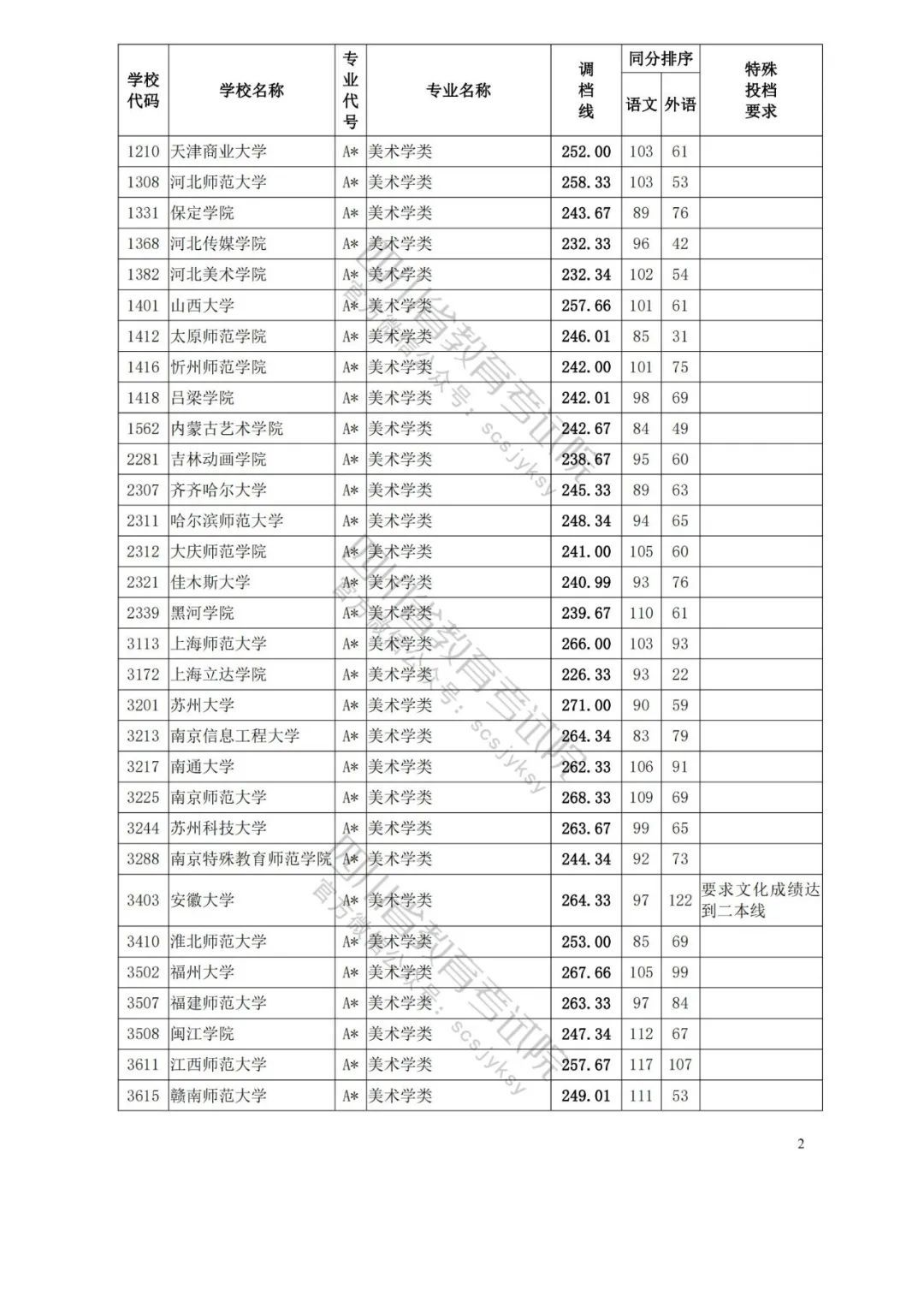
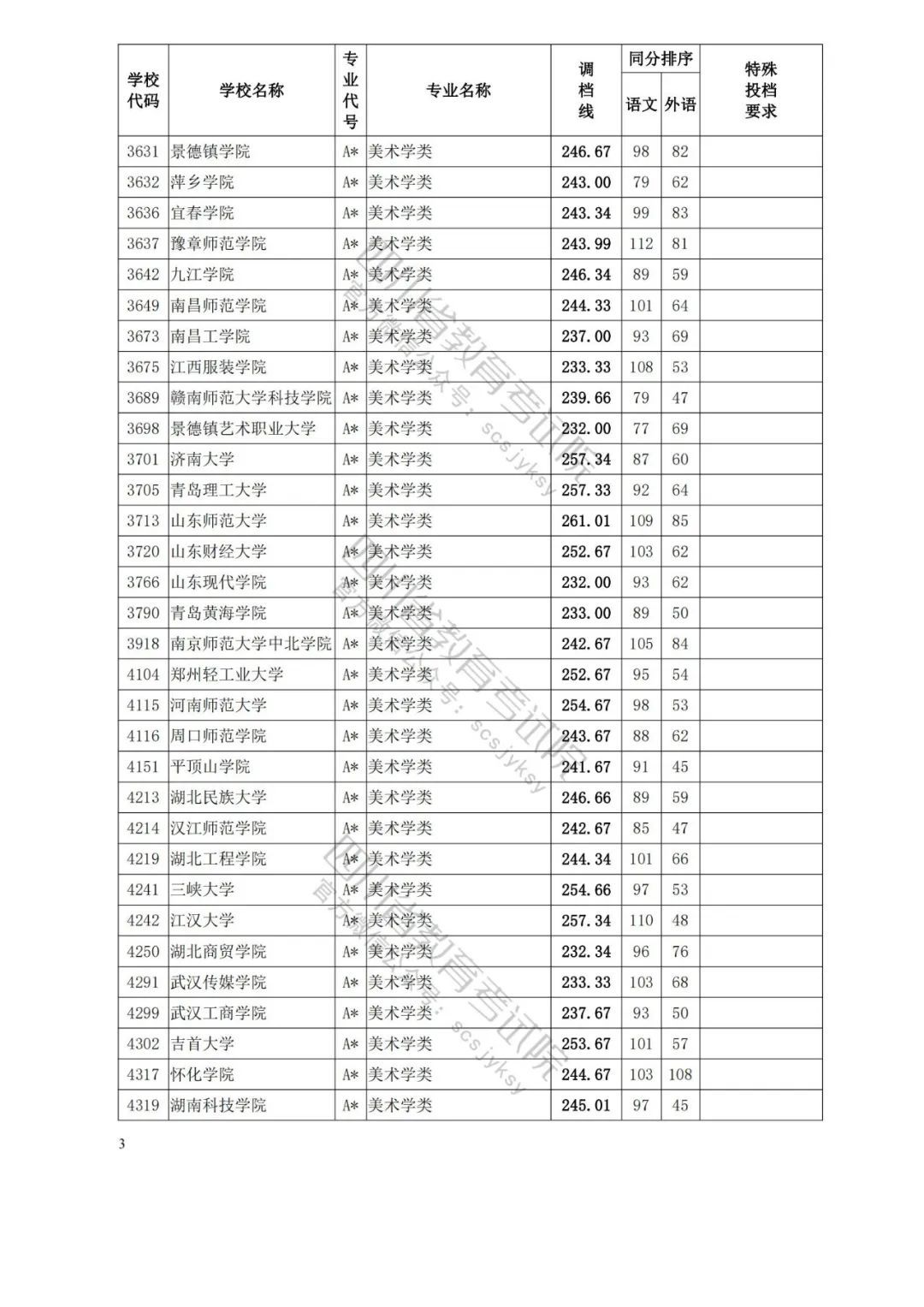
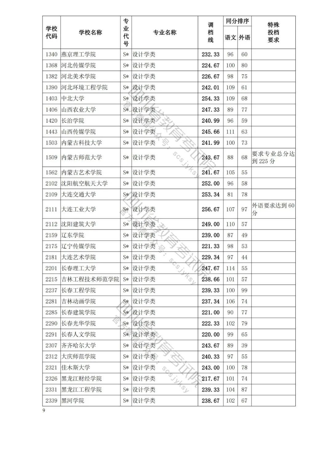
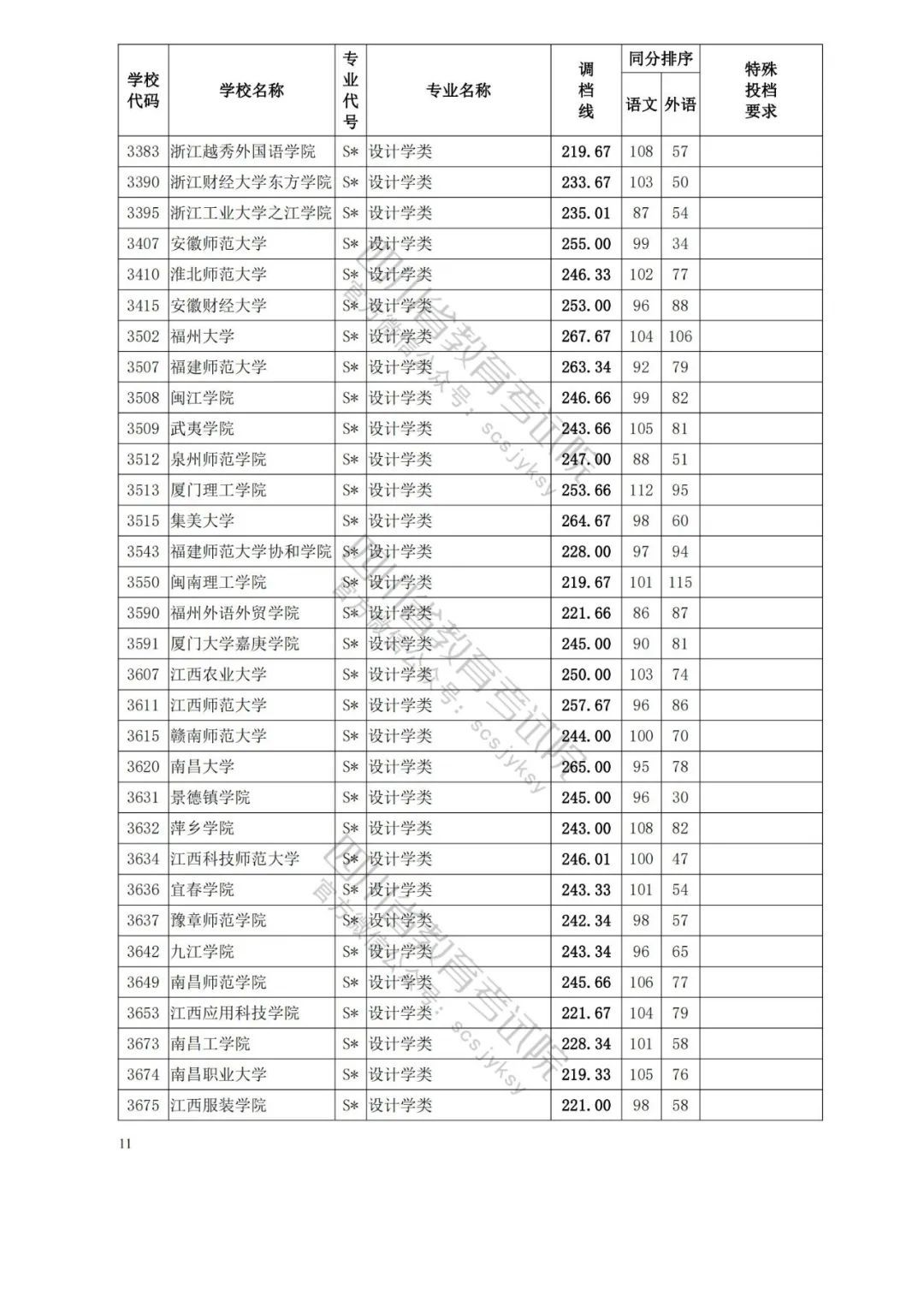
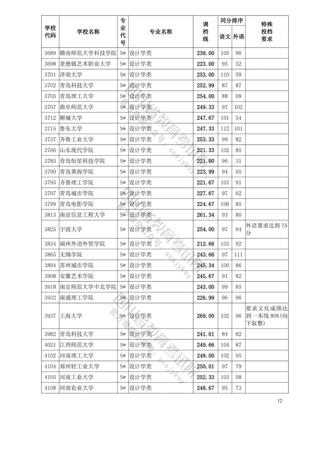
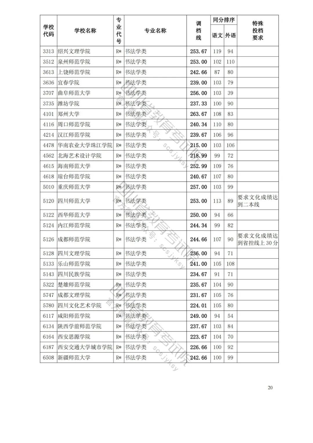
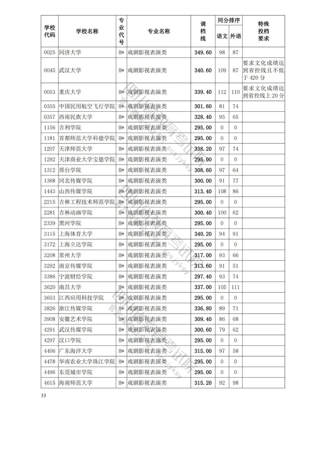
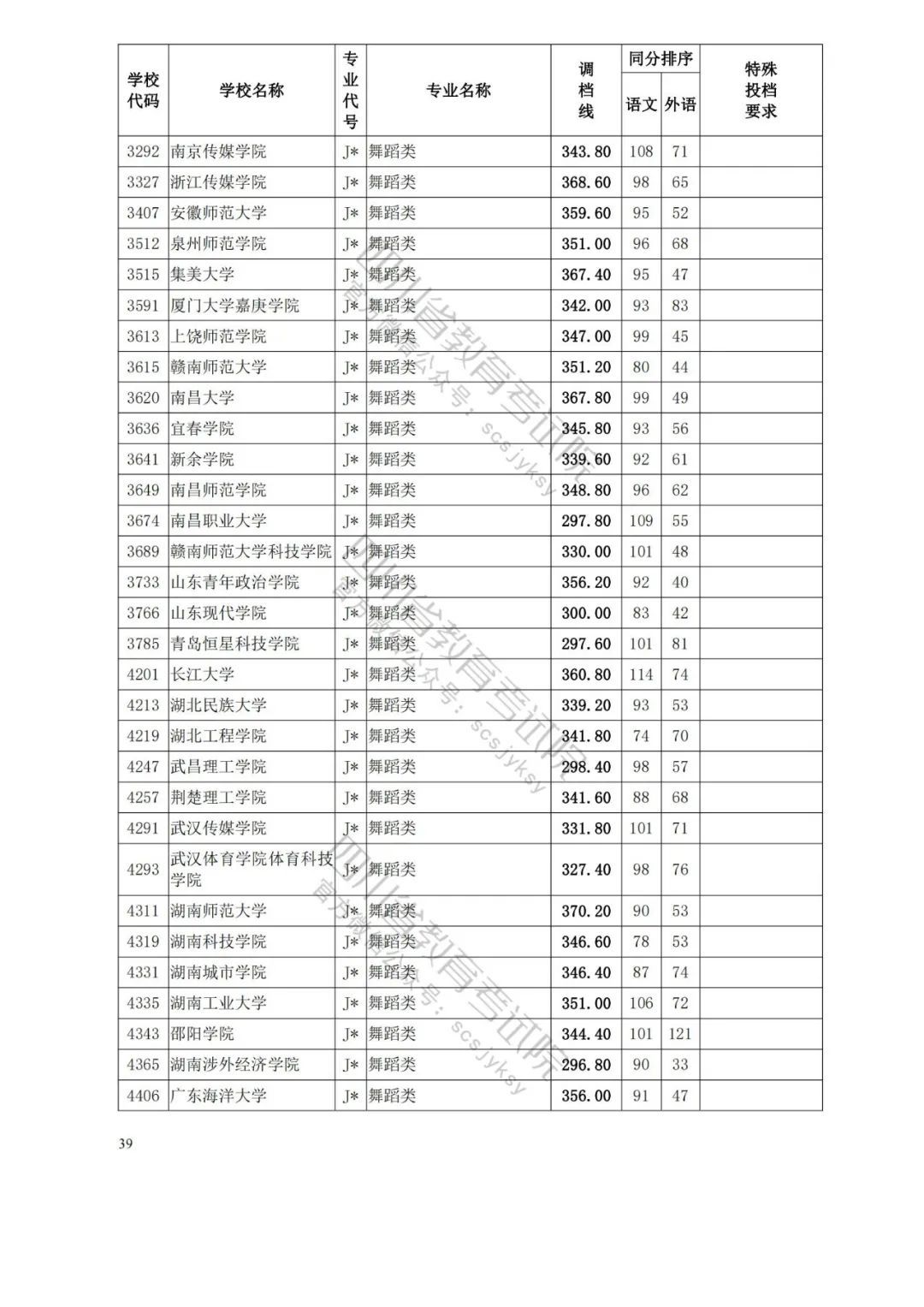
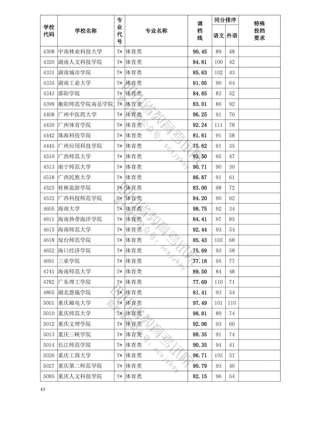
四川省2023年普通高校招生艺术类本科第一批、体育类本科批已于7月21日开始录取。为方便广大考生和家长及时获悉录取信息,省教育考试院按非编导类和编导类发布了艺体类分学校、分专业类调档线。




















































【未经授权,严禁转载!联系电话028-86968276】
扫码查看
四川省教育考试院
2023-07-21 18:58
全文播报
四川省2023年普通高校招生艺术类本科第一批、体育类本科批已于7月21日开始录取。为方便广大考生和家长及时获悉录取信息,省教育考试院按非编导类和编导类发布了艺体类分学校、分专业类调档线。




















































【未经授权,严禁转载!联系电话028-86968276】
本科第一批
祝贺莘莘学子金榜题名
感谢
知道了
教育兴国。
高等艺体为考生多条路非常好!