川观新闻记者 张彧希
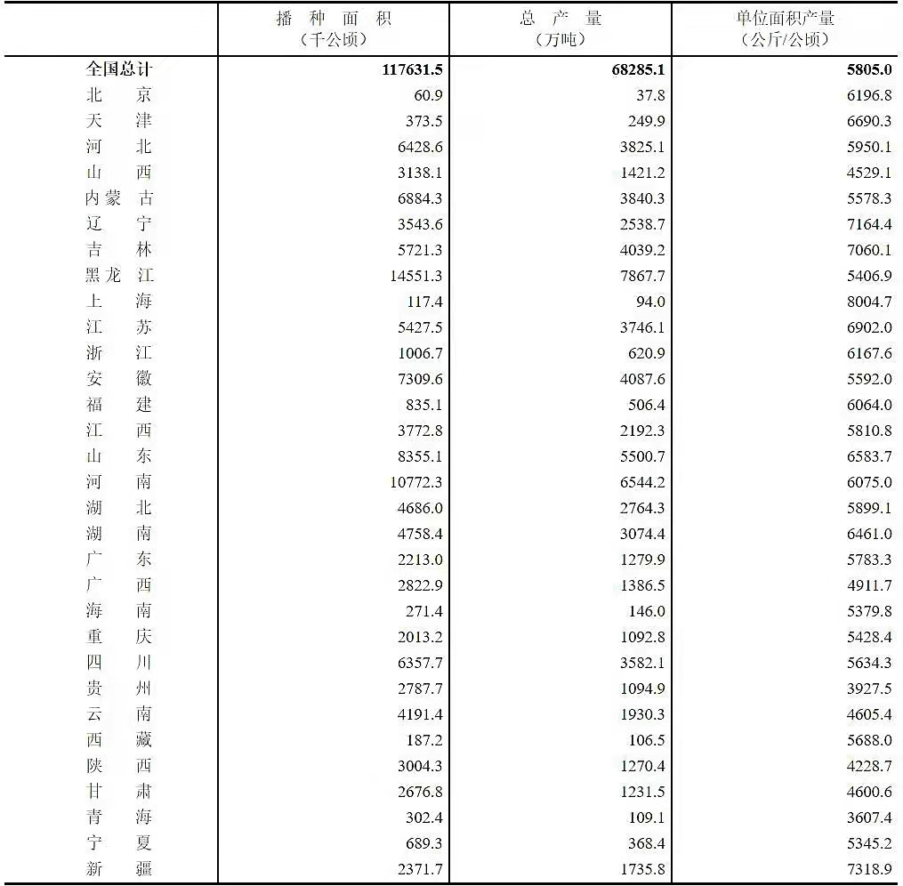
12月6日,国家统计局公布全国粮食生产数据,数据显示:2021年,四川全年粮食播种面积9536.6万亩,比上年增加67.7万亩,增0.7%,在全国各省(市、区)中居第7位。粮食总产量达到716.4亿斤,比上年增产10.9亿斤,增1.5%,在全国各省(市、区)中居第9位。
四川是中国13个粮食主产省之一,也是中国三大育种基地之一。今年省委一号文件明确提出,坚决守住粮食安全底线,确保粮食播种面积和产量只增不减。

【未经授权,严禁转载!联系电话028-86968276】
扫码查看
川观新闻 | 记者 张彧希
2021-12-06 16:27
全文播报
川观新闻记者 张彧希
12月6日,国家统计局公布全国粮食生产数据,数据显示:2021年,四川全年粮食播种面积9536.6万亩,比上年增加67.7万亩,增0.7%,在全国各省(市、区)中居第7位。粮食总产量达到716.4亿斤,比上年增产10.9亿斤,增1.5%,在全国各省(市、区)中居第9位。
四川是中国13个粮食主产省之一,也是中国三大育种基地之一。今年省委一号文件明确提出,坚决守住粮食安全底线,确保粮食播种面积和产量只增不减。

【未经授权,严禁转载!联系电话028-86968276】
四川粮食大丰收
坚决守住粮食安全底线
大丰收
大丰收
可喜可贺
点赞