2026年福建省
大学生志愿服务乡村振兴计划
明起报名
共招募500人
来看详情——
报名方式
符合招募条件的高校毕业生,在4月22日—5月15日内登录福建就业网专题网站——“毕业生就业”——“大学生志愿服务乡村振兴计划”查询招募岗位信息,选择合适的岗位报名。
2026年福建省大学生志愿服务乡村振兴计划按照公开招募、自愿报名、组织选拔、集中派遣的方式,从省内全日制普通高校毕业生、省外全日制普通高校福建生源毕业生(不含成人教育培养类别等非本专科全日制高校毕业生)中招募500名大学生志愿者,到乡镇开展为期两年的乡村教育、健康乡村、基层青年工作、乡村产业发展、乡村建设、乡村治理、数字乡村、绿色乡村、乡村文化建设等方面的志愿服务。
日前
相关岗位已进行公示
↓↓↓
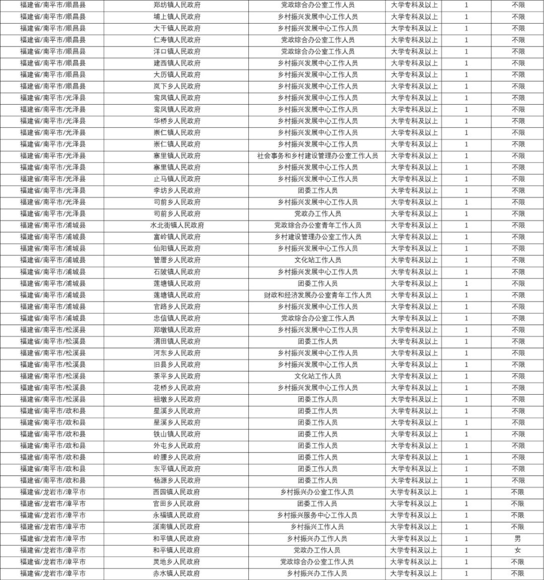
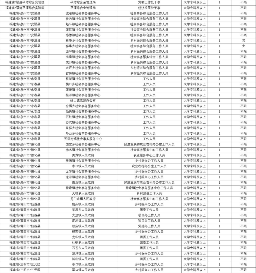
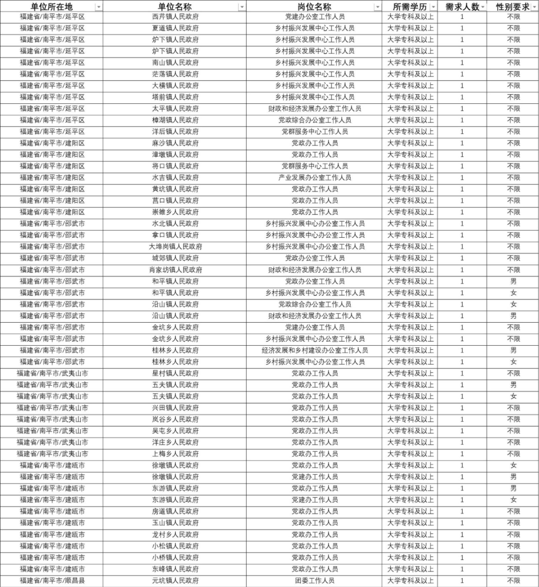
(上下滑动查看,点击图片可放大)
2026年福建省大学生志愿服务
乡村振兴计划服务岗位
招募对象和条件是什么?
服务期满可以享受哪些政策待遇?
一起来看——
招募对象和条件
省内全日制普通高校毕业生、省外全日制普通高校福建生源毕业生(不含成人教育培养类别等非本专科全日制高校毕业生),且应具备以下条件:
1.热爱祖国,热爱社会主义,拥护党的基本路线和方针政策。
2.具备奉献精神,能切实履行志愿者光荣的职责。
3.具备服务岗位所需的相应的专业知识。
4.符合体检标准,往届高校毕业生年龄不超过25周岁(即在2001年7月31日后出生),研究生学历放宽至28周岁(即在1998年7月31日后出生),2026届高校毕业生无此要求。
5.具有正常履行职责的身体条件,保证两年服务期内能正常履职。如不能保证两年服务期的完整性,期满考核将评定为不合格,不享受期满考核合格人员的优惠政策。
6.报名人员须在2026年12月31日前取得毕业证书,若未获得毕业资格和相应证书,将取消派遣资格。
已参加过“乡村振兴计划”“三支一扶”“社区服务计划”基层服务项目的高校毕业生不再列入招募对象范围。
乡村振兴计划服务内容
设置9个专项:
乡村教育、健康乡村
基层青年工作、乡村产业发展
乡村建设、乡村治理
数字乡村、绿色乡村
乡村文化建设
乡村振兴计划志愿者服务期为
两年
政策保障
(一)在岗待遇
1.服务期间,按我省上年度全口径城镇单位就业人员平均工资60%确定生活补贴标准和社会保险缴费基数(2025年7月起为4414元/月,如有调整,按最新文件执行),按月发放生活补贴,统一办理基本养老保险、基本医疗保险、失业保险、工伤保险和生育保险及人身意外伤害保险。服务单位比照本单位相同岗位在编工作人员落实“乡村振兴计划”大学生志愿者同等福利待遇。
2.参加“乡村振兴计划”的大学生志愿者,其在校期间的国家助学贷款本息,由服务县(市、区)财政按每年2000元代为偿还。
3.服务期间,由福建青年人才开发中心提供人事档案保管服务。服务满1年且考核合格后,可按规定参加职称评定。服务期间按规定解除协议的,实际服务并缴纳养老保险费的年限可计算为连续工龄。
4.符合《中华人民共和国医师法》《医师资格考试报名资格规定(2014版)》等规定的支医人员,由服务地相应医疗机构出具满1年试用期考核合格证明,当地县(市、区)级卫生健康行政部门协助办理参加执业医师资格考试的有关手续,确保他们能顺利参加考试。
各地、各高校可根据实际,制定鼓励引导高校毕业生参加“乡村振兴计划”等服务基层项目的政策措施,进一步提高保障水平。
(二)期满政策
“乡村振兴计划”大学生志愿者服务期满后自主择业。服务期满考核合格的,享受以下政策待遇:
1.“乡村振兴计划”大学生志愿者服务期满且考核合格的,经“乡村振兴计划”省项目办审核,颁发《福建省高校毕业生服务基层项目证书》。参加“乡村振兴计划”前无工作经历的高校毕业生服务期满且考核合格的,在2年内参加事业单位招聘、各类企业吸纳就业、自主创业、落户、升学等方面可同等享受应届高校毕业生的相关政策。
2.在全省公务员录用考试中,当年服务行将期满和服务期满考核合格的“乡村振兴计划”等服务基层项目高校毕业生,可报考面向服务基层项目大学生的专门岗位。
3.承担“乡村振兴计划”大学生志愿者招募任务的县(市、区),在开展事业单位招聘时应根据当年期满人员数量拿出一定数量或比例的岗位,对当年服务行将期满和服务期满的“乡村振兴计划”大学生志愿者进行专项招聘,并增加工作实绩在考察中的权重,聘用后可不再约定试用期。省市事业单位公开招聘时,对“乡村振兴计划”服务期满考核合格的人员同等条件下优先聘用。
4.服务期满考核合格,符合报考条件,在服务期满后三年内报考全国普通高校硕士研究生,初试总分加10分,在同等条件下招生单位优先录取。对于已被录取为研究生的应届高校毕业生参加“乡村振兴计划”的,学校应为其保留学籍至服务期满。高职(高专)毕业生参加“乡村振兴计划”,服务期满考核合格,可免试入读我省成人高等学历教育专科起点本科。
5.当年服务行将期满和服务期满考核合格的“乡村振兴计划”大学生志愿者,有就业意愿的,由服务地县(市、区)人社部门所属人才服务机构有针对性地提供就业指导和推荐服务。有创业意愿的,由服务地县(市、区)人社部门所属人才服务机构有针对性地提供创业公共服务,按规定享受相关扶持政策。
6.服务期满考核合格,被机关事业单位录(聘)用或进入国有企业就业的,其服务期间计算工龄,支教服务期间计算教龄,其参加工作时间按其参加“乡村振兴计划”到基层报到之日起算。
7.服务期满被录用为公务员的,试用期工资可高于直接从各类学校毕业生中录用公务员的试用期工资,按相同学历新录用公务员转正定级工资标准低1个级别工资档次的数额确定;被事业单位聘用的,岗位工资按所聘岗位确定,薪级工资比照本单位相同学历新聘用人员定级工资标准确定。
凡通过享受政策待遇,被录(聘)为公务员和事业单位工作人员的“乡村振兴计划”大学生志愿者,不再重复享受报考公务员和事业单位专门职(岗)位、基层事业单位考核聘用等就业优惠政策。
来源 福建青年志愿者
编辑 陈智丰
审核 欧阳进权
【未经授权,严禁转载!联系电话028-86968276】
