川观新闻记者 范芮菱
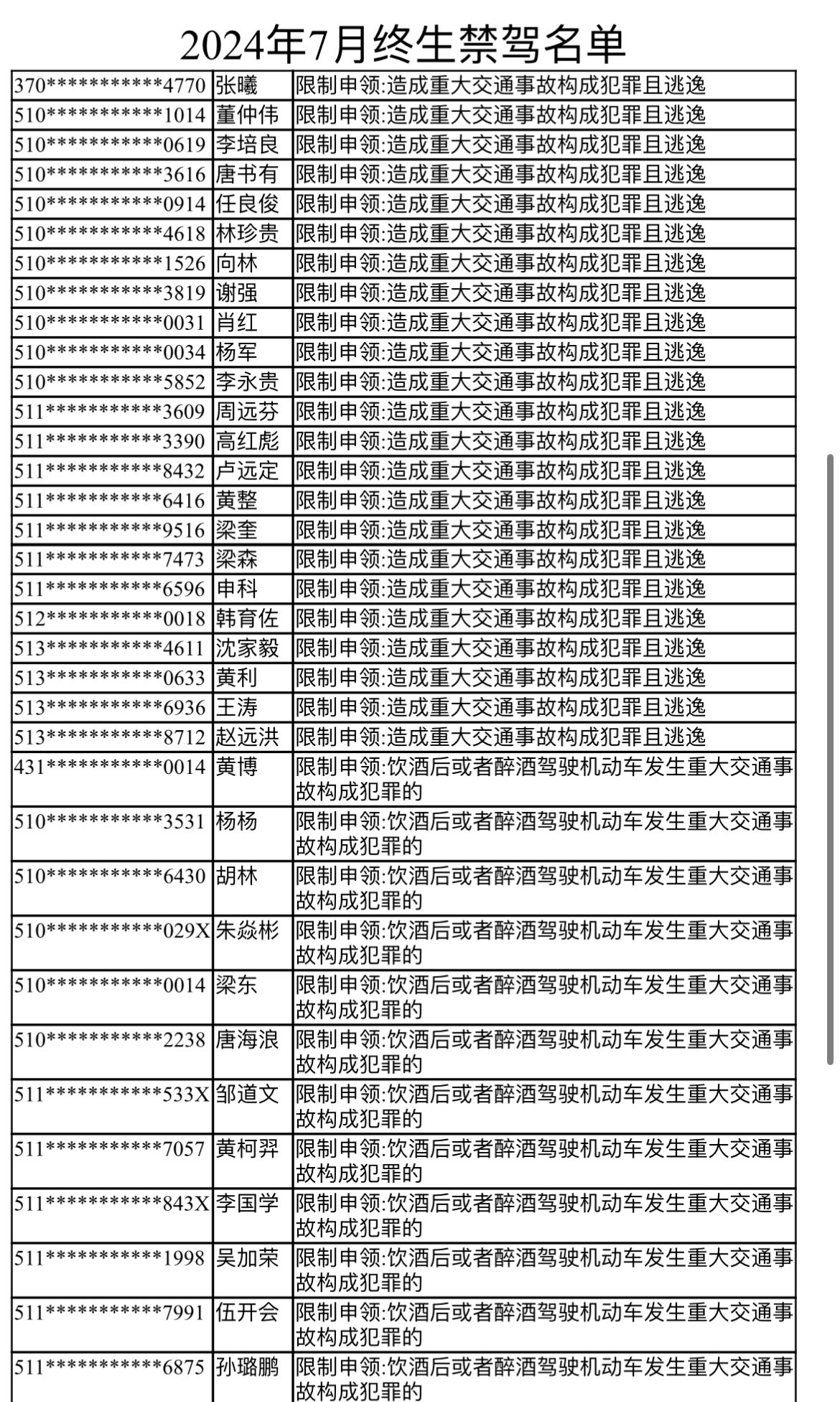
8月27日,四川省公安厅交警总队公布了2024年7月被终生禁驾的58人名单,其中年龄最大的71岁,年龄最小的17岁。
其中,35人因饮酒后或醉酒驾驶机动车发生重大交通事故构成犯罪,被公安交管部门吊销驾驶证且终生禁驾。23人因造成重大交通事故构成犯罪且逃逸,被公安交管部门吊销驾驶证且终生禁驾。
“终生禁驾意味着‘终生不得重新申领机动车驾驶证,终生不能驾驶机动车‘。这对一些人来说,不仅意味着出行不便,甚至可能失去工作的机会。”四川公安交管部门相关负责人介绍,目前全国已经实现了交管信息联网,一经处罚后,被处罚人信息将录入全国机动车驾驶员管理系统,被锁定为终生禁驾的司机无论在省内还是省外都无法再考取驾驶证。
公安交管部门提示:自重、自爱、自律,切实把杜绝酒后驾车作为长期的自觉行为。驾驶人发生交通事故后,应当立即停车抢救伤员,保护现场并报警,避免贻误受害人救治,加重事故后果。
详细名单↓


【未经授权,严禁转载!联系电话028-86968276】

开车不喝酒,喝酒不开车,不但要对自己负责,而且更要对他人负责!
依法惩治交通违法行为,增加违法者违法成本,从而达到惩治一批、教育一片的震慑目的,有效保障道路交通安全。支持四川交警的惩戒措施!
开车不喝酒
喝酒不开车,开车不喝酒!