据@武汉铁路 最新消息,根据中央气象台发布的寒潮橙色预警,2月18日至24日,我国大部地区将出现大范围雨雪冰冻天气。为确保旅客出行安全,中国铁路武汉局集团有限公司2月20日计划停运部分列车。
铁路部门将根据天气变化动态调整旅客列车运行方案,以上车次可能继续发生变化。具体情况请旅客随时通过中国铁路12306网站或App、各火车站官方微博等渠道关注动态信息,妥善安排出行。

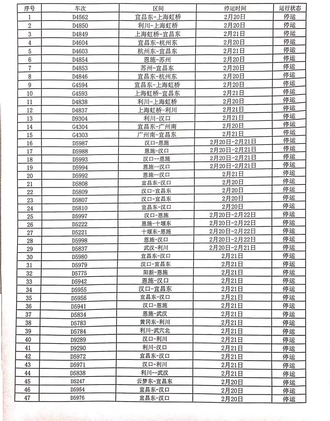
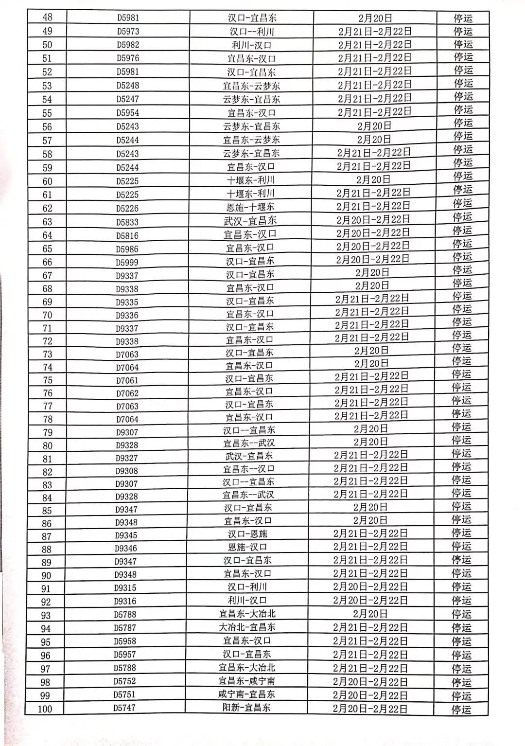
同时,从宜昌东站获悉
为应对低温冻雨极端天气
2月20日-2月23日
计划开行的137列车临时停运
购买停运列车车票旅客
可在接到通知之时
起至票面乘车日期后30日以内(含当日)
在12306网站、手机12306APP、
车站人工窗口、具有退票功能的自助机
办理退票,不收退票费



另外,@湖北高速交警 刚刚发布实时路况信息:因事故,临时关闭入口的有:G70福银高速六里坪至十堰东段。因车流量偏大,临时关闭入口的有:G45大广高速铁门至新洲段。因车流量大,车辆通行缓慢的有:G42沪蓉高速往武汉方向汉川至东西湖段;G4221沪武高速往安徽方向大别山至杨柳段;G50沪渝高速往上海方向武穴至花桥段。因施工,临时关闭入口的有:S13武监高速大沙湖站。因施工,①禁止车辆通行的有:G4201武汉绕城高速花山站出口(豹柏向)。②全天禁止危化品车辆通行的有:G4京港澳高速双向河南界至军山段、大新至军山段入口;G4201武汉绕城高速邹黄互通至藏龙岛互通段;G50沪渝高速武汉西至永安段入口、凤凰山站入口;G4201武汉绕城高速花山站入口。
据气象部门预警,2月18日晚至2月24日,武汉市有寒潮大风低温雨雪冰冻天气。预计全市道路会出现起霜、结冰等现象,时逢开工开学、春节返程时节,恶劣天气给交通出行带来较大影响。
2月18日,武汉交警提示广大市民,密切关注出行路况,尽量选择公共交通出行,自驾车辆请合理规划路线,检查车况,注意降速控距,避免出现意外状况。

武汉交警已启动恶劣天气道路交通管理应急预案,加大高速公路、环线快速路、过江桥隧、“三站一场”等重点易结冰路段管控力度,全警动员护航。
根据武汉交警交通安全风险防控中心分析,恶劣天气下,中心城区的桥梁、环线高架,近郊和新城区的高速公路、进出城通道和国省道为事故易发路段,特别提示四环线临水桥梁路段(后官湖大桥、府河大桥、后湖大桥、小菜湖大桥、汤逊湖段等),在雨、雾、雪恶劣天气下交通事故风险较高。
武汉交警提示,低温恶劣天气,临水高架桥梁极易结冰,引发车辆追尾、翻车、侧滑等事故;另外桥梁、高架、涵洞、隧道早晚易结冰,车速过快或跟车距离过近容易引发车辆追尾,请大家注意保持安全车距、谨慎慢行。
【未经授权,严禁转载!联系电话028-86968276】

冰冻天气,出行安全第一
只要是为了出行安全,大家都要支持。
天气预报
观注天气,加强安全防范
出行安全第一方便出行是起码要求
又来雨雪天气了,注意保暖!