9月20日,资阳市委五届五次全会召开。
会议期间,与会者们深入学习贯彻习近平总书记来川视察重要指示精神和省第十二次党代会、省委工作会议精神。资阳市委书记元方作关于《团结奋斗 埋头苦干 推动资阳高质量发展助力成渝地区中部崛起》的报告。
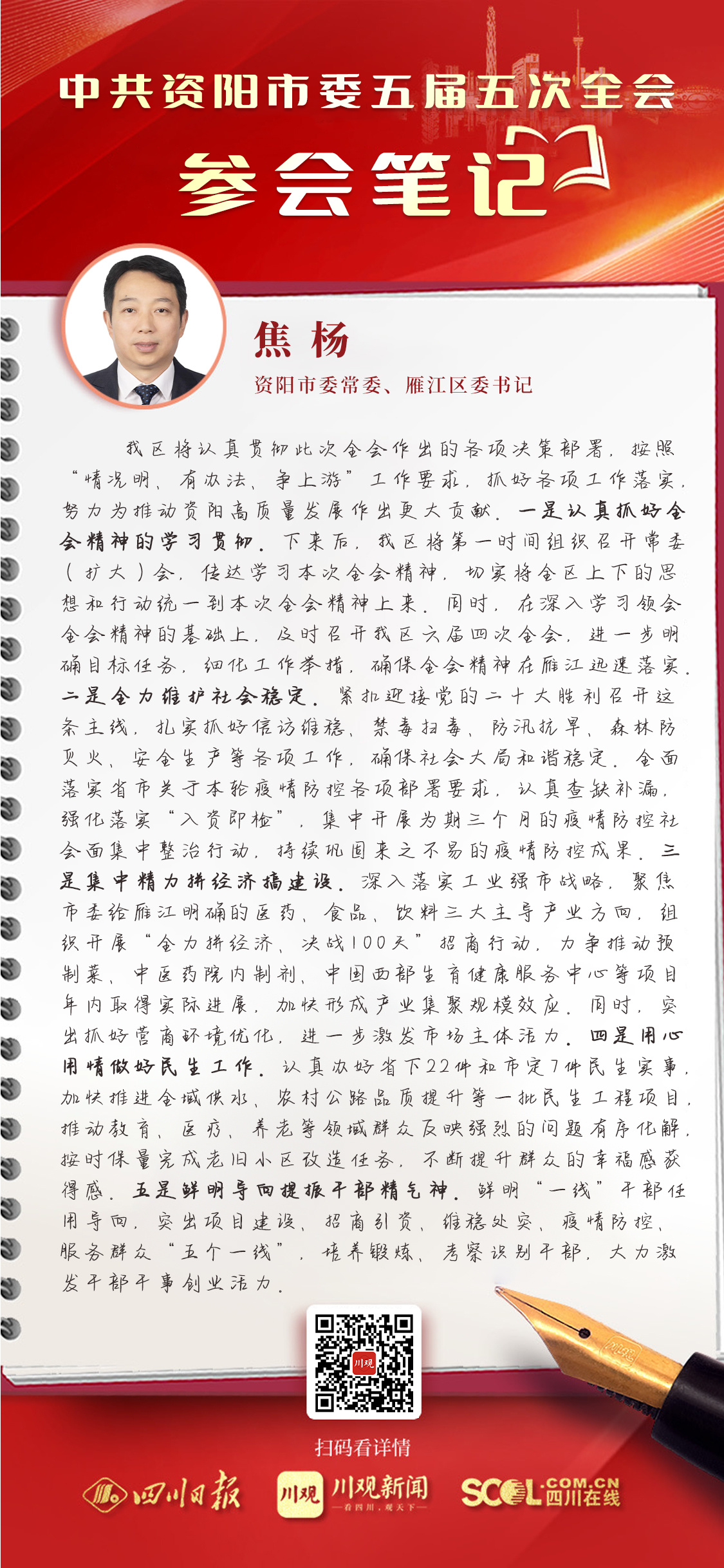
谈感受、话发展,如何推动全会部署落地落实,来自雁江区、安岳县、乐至县、高新区、临空经济区的主要负责人都“写”了哪些笔记,一起来看看吧↓↓






【未经授权,严禁转载!联系电话028-86968276】
扫码查看
川观新闻
2022-09-21 09:43
全文播报
资阳
进入频道
9月20日,资阳市委五届五次全会召开。
会议期间,与会者们深入学习贯彻习近平总书记来川视察重要指示精神和省第十二次党代会、省委工作会议精神。资阳市委书记元方作关于《团结奋斗 埋头苦干 推动资阳高质量发展助力成渝地区中部崛起》的报告。
谈感受、话发展,如何推动全会部署落地落实,来自雁江区、安岳县、乐至县、高新区、临空经济区的主要负责人都“写”了哪些笔记,一起来看看吧↓↓






【未经授权,严禁转载!联系电话028-86968276】
总之就是要提速了