川报观察记者 边钰
山东省潍坊市的杨家埠村有着“年画之乡”的美称,其与苏州桃花坞、天津杨柳青、四川绵竹并称为中国“四大木版年画”。但鲜为人知的是,这一年画竟由四川人创造。在7月末面世的《四川美术史》(下册)中,梳理、揭示了这一新发现。
《四川美术史》(下册),由四川省社科院艺术研究中心主任唐林撰写,巴蜀书社出版发行。用120万字,从绘画、书法、建筑、雕塑、工艺美术五大类,介绍了元明清三代四川美术的发展成果。
长达600多年的元明清时期,四川美术在中国美术史上的总体地位和影响远远无法与五代、两宋时期相比,但仍然有一些可圈可点的人物、事件,“它们不仅是四川美术的重要组成部分,也是中国美术史不可忽略的组成部分。”
元明清时期
书法艺术“星光闪耀”
唐林介绍,元代,书坛崇尚晋唐书风的古雅劲健,遂形成回归晋唐的潮流。在持续数十年的复古运动中,真、草、隶、篆各体都取得了新进展,并出现了以赵孟頫为首的一大批代表性书家。
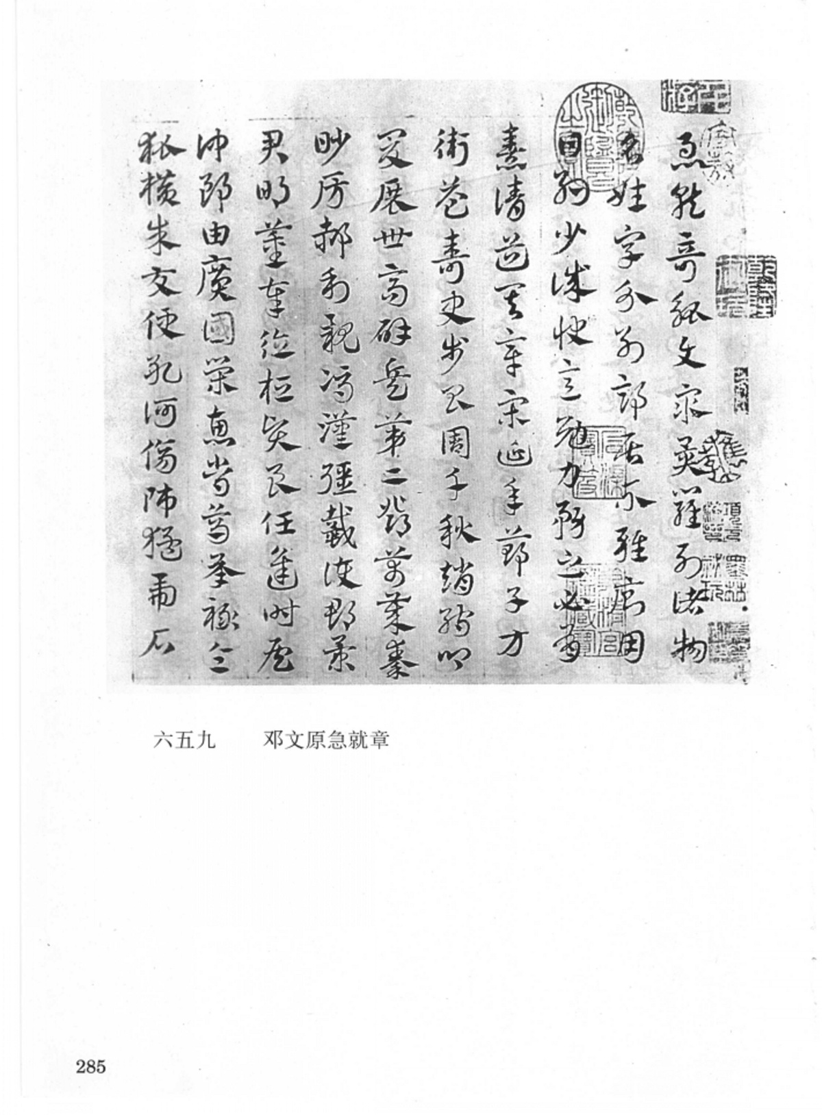
南宋末,由于战争动乱,蜀中大批知识人士举家出逃,流亡他乡,导致了在后来的百多年间蜀地文学艺术不彰。不过,欣慰的是,流寓外省的蜀中二代、三代子弟却在书画界卓有成就,譬如虞集、牟巘父子,就是先世居蜀、宋末避居江南的蜀籍书画家的代表。其中,最著名的蜀籍书法家当属邓文原和虞集。
邓文原先世居今四川江油,是元初与赵孟頫、鲜于枢鼎足而立的书法家。依据《中国书画定级图典》的分级,邓文原的《急就章》是国宝级书法,而全国列入国宝级书法的仅有54件作品,包括陆机《平复帖》、王羲之《兰亭序帖》、怀素《苦笋帖》等。
如今,在北京故宫博物院可以欣赏到邓文原的这一佳作。其书法以楷法写章草(早期的草书),某些字参以今草造型,结字偏于方形,用笔精巧锐利,牵丝纤细流畅,有意识地加重了波磔。此临书已经脱却了古章草古朴、厚重的气息,倾向于轻巧、研美。
“这一佳作是邓文原应举翰林时在元大都庆寿寺为理仲雍书写,为三国皇象刻本《急就章》的临摹本。”唐林介绍,如果以邓文原的临摹本,对照皇象拓本及近年出土的隶章竹简,可以发现他的临写实际上是再创造,体现元人审美意识和艺术特征的“章草”。
同时期的蜀籍书法家,还有虞集,他是“元儒四家”,楷、行、草、篆、隶五体皆备,有古篆为当代第一之称。其撰文和赵孟頫书丹成为当时的双璧。
到了明清时期,四川涌现出黄辉、破山海明、杨慎、杨廷和等书法家。黄辉“诗书双绝”,其书与董其昌齐名,今四川博物院收藏3件,弥足珍贵。佛学大师和禅宗巨匠的破山海明的《草书七言联》为20位中国历代高僧罕见书法之一。杨慎是明代四川唯一状元,精楷、行、草,殆遍海内。杨廷和是两朝首辅,其书法为政名所掩。石刻碑志上,则有吴炳、陈以勤、曾省吾等大家涌现。
披沙拣金
元代界画第一人为蜀人
传统印象里,四川元、明时期的美术,尤其是绘画似乎是一片寂寥。然而得益于当今大数据的广泛运用,唐林披沙拣金,惊喜发现一批被遗漏的四川名家,“这些名家闪耀美术史,他们中不乏流寓外省的蜀籍人士。”
比如,元代时期的蜀人画家李容瑾,其所作界画楼阁,别具一格。元载入画史的界画家仅有三位,李容瑾就是其中一位。他师承王振鹏,但其山树画法比王振鹏略粗壮,楼台亭阁折算精确,界划工整。他的传世作品《汉苑图轴》现藏台北故宫博物院,使用统一的鸟瞰透视画法,描绘规模宏大的汉代宫苑,堂房回廊、楼阁台榭、曲径庭院、山石树木,天空远山,一派盛况。
唐林介绍,《汉苑图轴》中,与宫室交融的林木树叶画法全部采用夹叶法,其山水用李成、郭熙之法,界画仿其师王振鹏之笔。此幅工写结合,工的是界画表现折算准确,而不失矩度,写的是旷远浩渺、自由随兴之意。可谓是将工整精确的界画之实与意境幽远的山水之虚,结合表现得恰到好处的典范之作,代表了元代界画最高创作水平。“李容瑾的界画绘画水平,超越元代所有界画画家,可与两宋界画画家相媲美,当属元代第一。”唐林感叹道。
除了打捞出李容瑾,还有一位全才杨翰也浮出历史的“锅底”。杨翰是书法家,其书法有“小何绍基”之誉,“与道州何蝯叟齐名”,曾在倪瓒《武夷岩壑图轴》上题跋;他是画家,湖南省博物院藏有其绘画《秋壑飞泉图》《山水图轴》等作品;也是绘画理论家,所著《归石轩画谈》是清代重要的画学著作。他进士出身,官至湖南布政使,与当时的朝廷重臣曾国藩、李鸿章等交游甚多。“其艺术成就早已达到录入《四川美术史》标准,只是由于其后来出川,因而一直未出现在四川相关地方志书中。”
关于这类新发现,在《四川美术史》元明时期最多。譬如绘画方面,除了李容瑾,元代还发掘了3位四川籍的著名画家:本蜀阆州(今四川阆中市)人陈汝言,其《罗浮山樵图》藏于美国克利夫兰美术馆;陈汝言之兄陈汝秩,绘制的《清閟阁图》水平极高;四川遂宁人王立中,其所绘《山水图》是四川遂宁人留传至今最早的绘画作品。
这些隐秘历史深处的蜀籍人士的发现,颠覆了中国美术界长期存在的四川元明时期没有什么绘画成就的固有印象,使四川元明时期的美术史有了灿烂的光芒。
千里迁移
杨家埠木版年画为川人所创
明清时期,四川版画发生了一桩历史性大事件。彼时,四川人跨地1600余公里,把四川版画技术带到山东,造就了如今享誉全国的杨家埠木版年画。
杨家埠杨氏是四川梓潼县重华乡(今属江油市重华镇)人,其家族于明洪武二年(公元1369年)从四川梓潼县迁到山东潍县(今山东潍坊市)。梓潼县处于蜀道南端,元明清皆有发达的民间工匠画传统。据文献记载,梓潼境内传统绘画以民间工匠画为主,文人画次之。境内画匠,精于水墨丹青各类技法,工笔写意兼容而又以工笔见长,其绘画活动地点多以寺庙祠堂为主。元、明、清时,七曲山以反映文昌帝君为题材的壁画颇多。四川元明时期唯一有文字记载的壁画家“秦贵及徒八人”就出自梓潼县城关。
那么在明初,四川有“湖广填四川”的大背景下,为什么杨氏家族逆势而为,千里迢迢从四川梓潼县迁移到山东潍县呢?

“这是强制性移民。”唐林解释,四川迁民远徙山东的胶东半岛(包括今潍坊市),不是自发移民,而是朱元璋为消除反侧势力,将巴蜀地区明玉珍政权的支持者迁往异乡的战略布局。
杨氏祖先在潍县定居后,充分发挥四川梓潼工匠的绘画才能,根据山东民俗,最终创造了闪耀至今的杨家埠木版年画。

唐林还提到,四川木版年画产生于宋代,明时成熟,清代达到鼎盛。这一时期,四川年画自成一个系统,很有特点。其中绵竹年画、夹江年画、梁平年画并称为“四川年画三大家”。同时,还诞生了《迎春图》这一描绘古老绵竹民俗的佳作。
《迎春图》为四川绵竹人黄瑞鹄所著,它以连环画的形式构成一长卷,采用散点透视的构图法,以清代绵竹县城为背景,以460余个栩栩如生、造型各异的人物,表现了清代末期在绵竹街头浩浩荡荡“迎春”游行的场景,生动再现了清代民俗风情,画面上甚至可以看到家家户户的门前都贴着春联、门画。作者主要运用了中国传统的工笔重彩法,以线描勾勒为主,人物线条自然流畅、形态生动逼真,整个色调采用统一的暖色基调,既有变化又和谐统一。细节刻画多从生活中得来,充满浓郁的生活气息,是一幅现实主义和浪漫主义相结合的清代风俗画巨作,是四川的《清明上河图》,具有相当的历史价值和艺术价值。
【未经授权,严禁转载!联系电话028-86968276】

大书