李杰 川观新闻记者 魏冯
今年9月24日,国务院办公厅印发《关于加快推进政务服务“跨省通办”的指导意见》,要求各地打破地域阻隔和部门壁垒,优化服务方式,丰富办事渠道,开展区域合作。
一个月后,合江县与赤水市决定在10月23日将“跨省通办”正式提上议程,全面推进“异地受理、远程办理、协同联动、就近可办”的“跨省通办”政务服务新模式。

魏冯摄
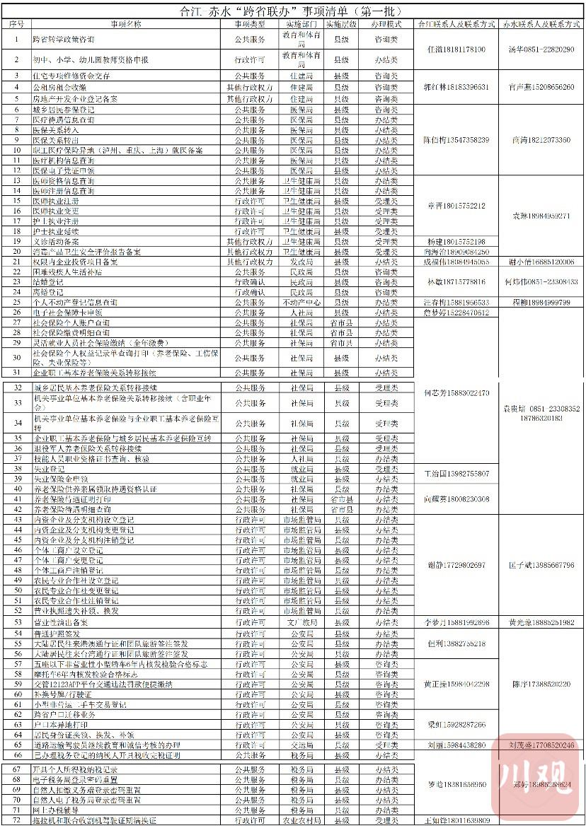
当天,四川省合江县•贵州省赤水市政务合作“跨省通办”签约仪式在合江县举行,双方签订《合江县人民政府-赤水市人民政府政务合作互信协议》(简称《协议》),重点围绕两地人民群众和企业关心的高频事项需求,公布首批“跨省通办”事项74个,以异地咨询、异地受理和异地办结三种类型展开试点运行。

魏冯摄
重点
从数据互信、政策互惠、互办专窗到队伍建设 合力搭建政务合作平台
《协议》的签订,意味着两地搭建起政务合作新平台,群众和企业将逐步告别办事回原籍、办事往返跑的历史,真正实现跨区域互通互办和政务服务“数据多跑路,人员少跑腿”。
根据《协议》,数据互信上,两地将开展电子证照库和信息共享建设,实现两地政务服务用户体系和签章(包括电子签章)互通互认,打破地区信息化壁垒;形成跨省行政审批联办初步标准,实现跨省审批交办分离。
在政策互惠上,两地将聚焦政务服务关联的政策措施,将金融服务、科技创新、人才培养、法治保障、服务环境等领域互通相关配套政策和规则标准,进行多角度、多维度的深度合作,服务区域间的基础设施、基础产业、基础市场和基础环境,让企业、群众享受最优惠待遇,建立一个便民利民的“政务共同圈”。
两地还将在两地政务服务大厅设立互通互办专窗,特别针对需当事人跨地区现场办理的事项(如:医保、税务、公安等),由互通互办专员通过远程设备协助完成收件、现场办理、发放证照文书等环节,相关材料可经邮递传递,实现异地办理事项“只跑一次”。如制定公布两地通办事项清单(首批“跨省通办”事项74个),并实现动态调整机制;在两地培训跨省业务办理专员,当办事群众需要办理跨省业务时,可在网上自行申报或找到两地跨省业务办理专员进行办理;与邮政签订邮政速递协议,线下资料可通过邮政速递寄递,减少跨省跑腿次数。确需办事群众来现场的,可以采用视频认证等系统,进行现场认证,力争跨省业务不跑腿。
两地还将建立两地审批工作人员在业务培训、挂职交流、党群建设等方面的培育平台和长效工作机制,推动两地区人员开展经常性的实战交流等。下一步,赤合两地将坚持以群众和企业需求为导向,梳理出更多可办事项并进行动态调整。
特点
办年检里程缩短半个小时、40公里 紧扣两地群众和企业高频事项需求
赤水市营商环境建设局局长陈淑梅表示,本次两地公布的首批74个“跨省通办”事项,重点涵盖人社、医保、税务、市场监管等15个部门。自 《国务院办公厅关于加快推进政务服务“跨省通办”的指导意见》出台后,赤水、合江聚焦企业和群众普遍关切的异地办事事项,紧紧围绕2020年底要实现的58项“跨省通办”事项,新增26项事项列入此次合作的清单,积极开展政务服务改革探索和创新实践。
以两地公安机关为例, 为解决异地办事不便的难题,此次推出11项业务实现跨省联办,涉及交管业务的就有五项,其中五座以下非营业性小型轿车6年内核发检验合桥标志、摩托车6年内核发检验合格标志两项业务为合江群众带来了实实在在的便利。
记者留意到,以往像离赤水比较近的合江九支镇群众,如果要年检,最少也要47分钟、驾车50余公里才能抵达合江县。赤水公安局出入境管理大队教导员陈序举例,像两地摩托车6年以下的免检业务,开通跨省联办后,九支镇群众坐车仅需10余分钟(大约10公里)到赤水政务服务大厅就可办理。

魏冯制图
【未经授权,严禁转载!联系电话028-86968276】

越来越方便了
好,真的为民服务!